yl23455永利集团
首页
|
永利概况
|
学院简介
机构设置
领导分工
党委委员分工
党建工作
|
工作动态
理论学习
组织机构
学科建设
|
研究方向
学科特色
师资队伍
|
师资概况
教授风采
永利集团
|
专业介绍
教学动态
教学制度
研究生培养
|
招生工作
培养动态
导师简介
科学研究
|
科研成果
科研动态与交...
学生工作
|
团学动态
评奖评优
招生就业
社会服务
|
理论宣讲
合作交流
人才招聘
|
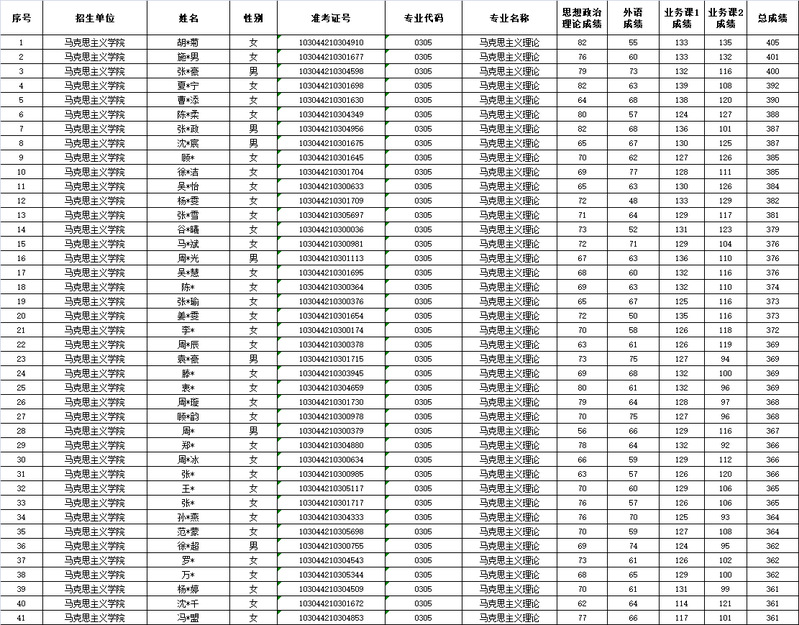
yl23455永利集团2024年硕士研究生复试考生名单(一志愿)
来源:yl23455永利集团
发布时间:2024-04-03
浏览次数:
4351